Đơn vị sản xuất cửa gió công nghiệp và phụ kiện giá rẻ tại Hà Nội, Đà Nẵng
Đơn vị sản xuất cửa gió công nghiệp và phụ kiện giá rẻ tại Hà Nội, Đà Nẵng

SẢN XUẤT CỬA GIÓ - PHỤ KIỆN CHẤT LƯỢNG CAO TẠI HÀ NỘI
Cơ điện NP Việt Nam là đơn vị cung cấp cửa gió và phụ kiện uy tín chất lượng hàng đầu việt nam. Thật vậy sản phẩm cửa giớ, miệng gió của cơ điện NP đã và đang nhiều nhà thầu cơ điện lựa chọn cho những dự án trọng điểm tại những thành phố lớn như Hà Nội, Đà Nẵng, Tp. HCM, Cần Thơ, và nhiều tỉnh thành khác.

Đội ngũ nhân viên là các kỹ sư, kiến trúc sư có trình độ kỹ thuật tiên tiến, nghiệp vụ hệ thống quản lý theo tiêu chuẩn ISO 9001:2008, nhà xưởng sản xuất thang máng cáp diện tích hơn 2000m2, trang thiết bị hiện đại tiến tiến, Cơ Điện NP cam kết mang đến cho khách hàng các sản phẩm cửa gió, miệng gió chất lượng, giao hàng nhanh, đầy đủ số lượng chủng loại với giá thành cạnh tranh và những chính sách ưu đãi nhất.
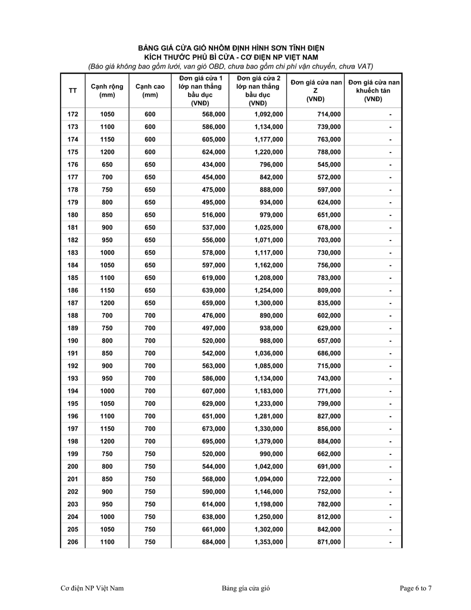
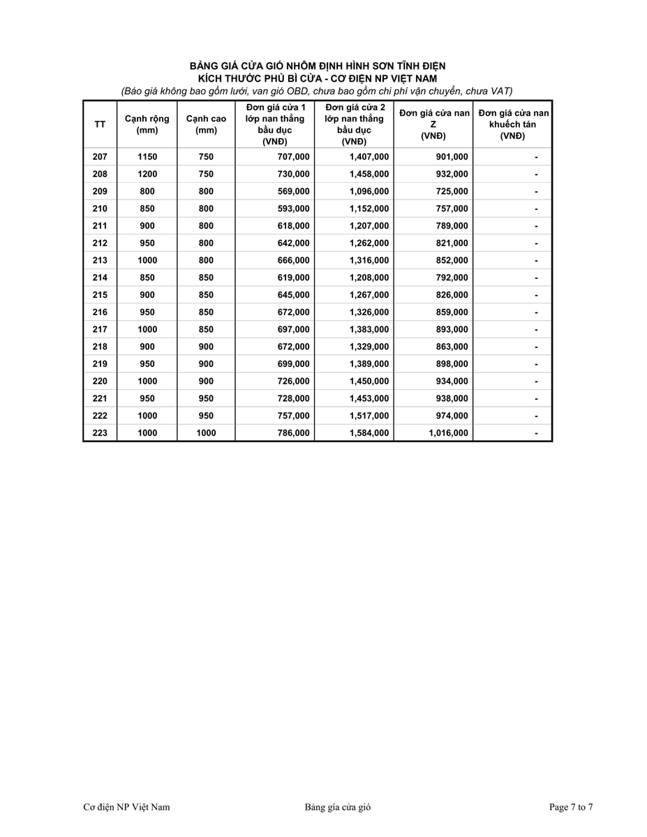
Để giúp khách hàng thuận tiện trong quá trình làm dự toán công trình, Cơ điện NP xin gửi tới quý khách hàng bảng báo giá cửa gió nhôm định hình sơn tĩnh điện mà chúng tôi đã thực hiện cho các dự án tại Hà Nội.
Link down: Bảng báo giá cửa gió và phụ kiện giá rẻ Hà Nội






