Báo giá cửa gió
BẢNG GIÁ CỬA GIÓ, CỬA GIÓ ĐIỀU HÒA, MIỆNG GIÓ TRÒN RẺ NHẤT KHU VỰC HÀ NỘI
Cơ điện NP luôn tự hào là công ty đi đầu trong các nhà máy sản xuất cửa gió, miệng gió tròn, cửa gió 1 lớp nan, cửa gió 2 lớp nan, cửa gió điều hòa, cửa gió công nghiệp...... trong việc cập nhật những công nghệ sản xuất mới hàng đầu, giúp làm tăng năng suất lao động, giảm chi phí nhân công, chi phí sản xuất, hạ giá thành sản phẩm.
Nhờ vậy các sản phẩm cửa gió của chúng tôi luôn vượt trội về chất lượng, tính năng, giá cả cạnh tranh cũng như mẫu mã sản phẩm được thiết kế đẹp mắt. Cửa gió NP luôn là thương hiệu hàng đầu Việt Nam và là sự lựa chọn hoàn hảo cho khách hàng.
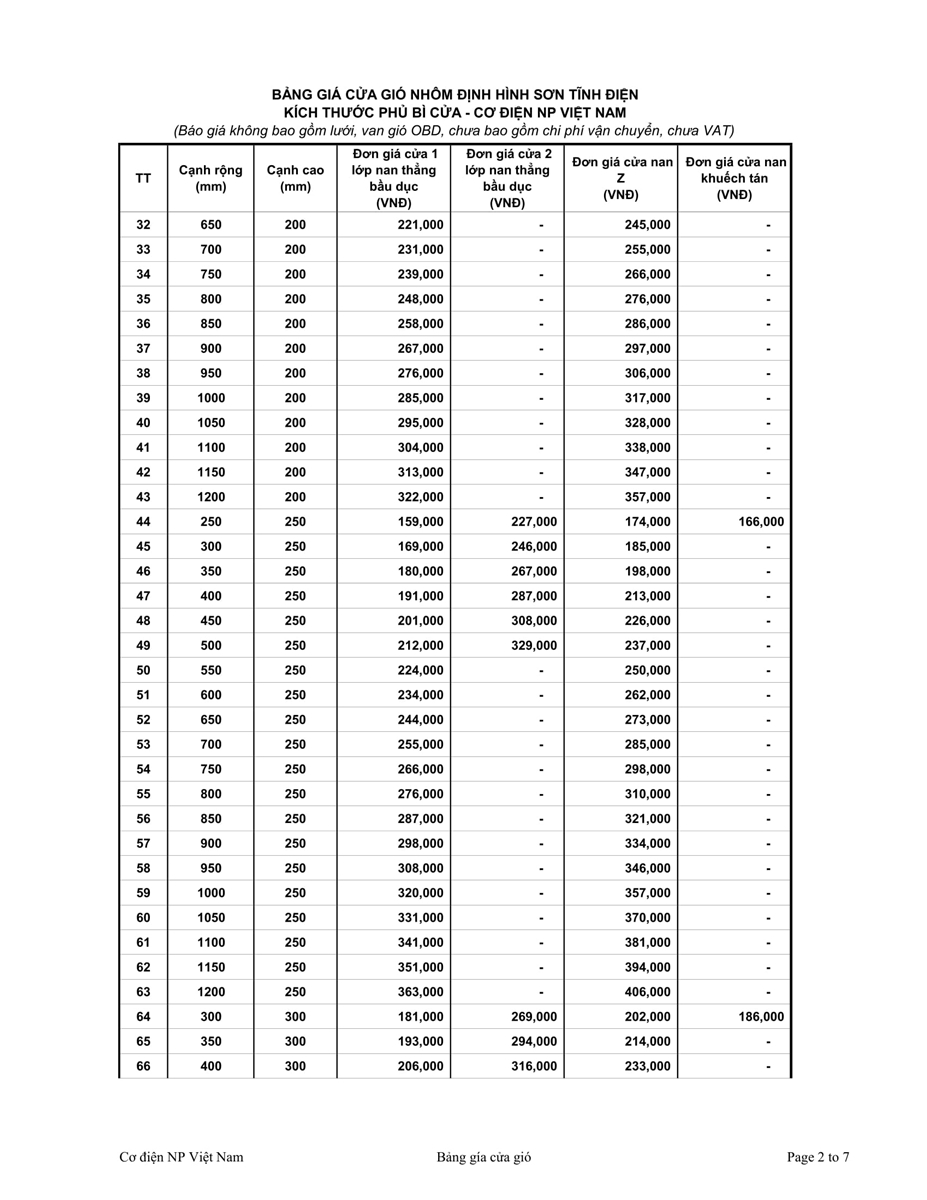
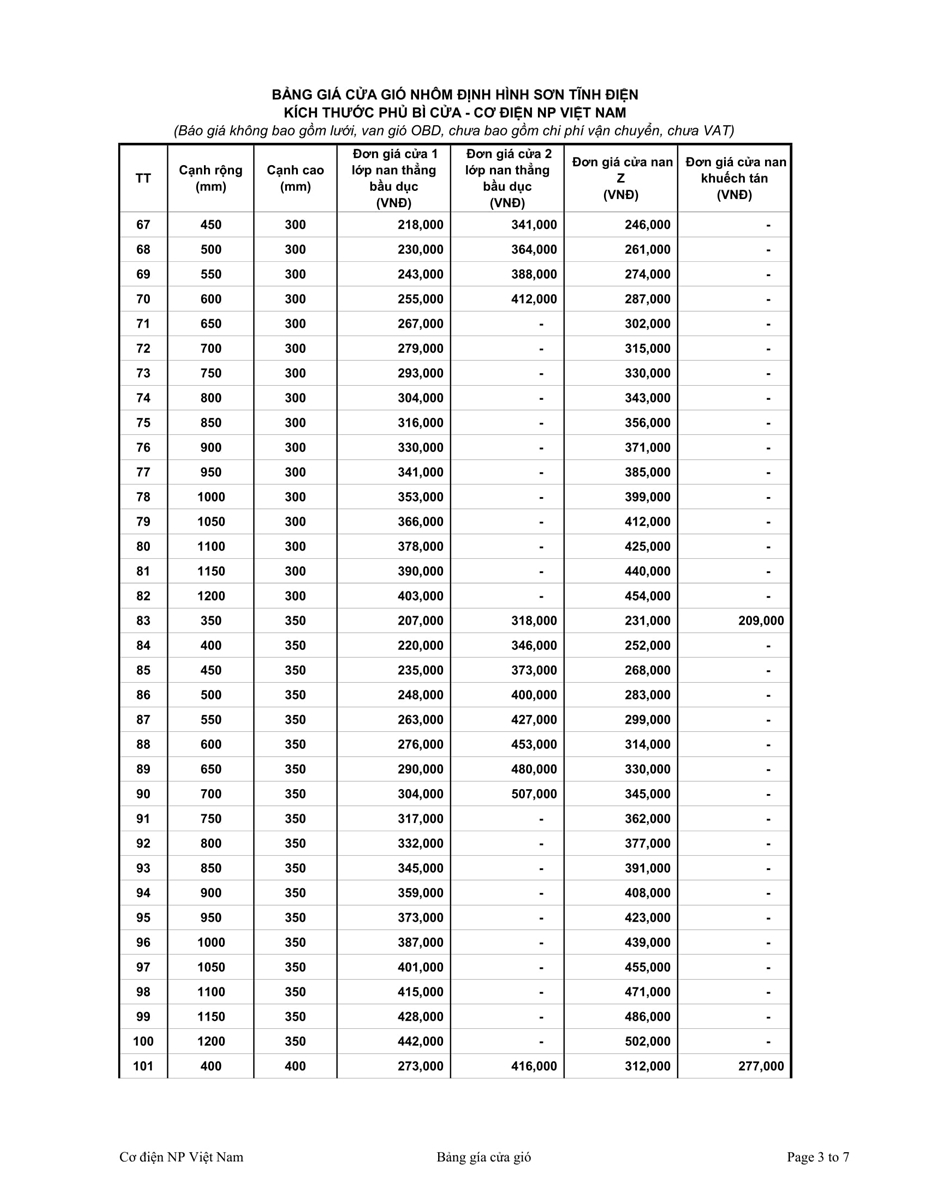
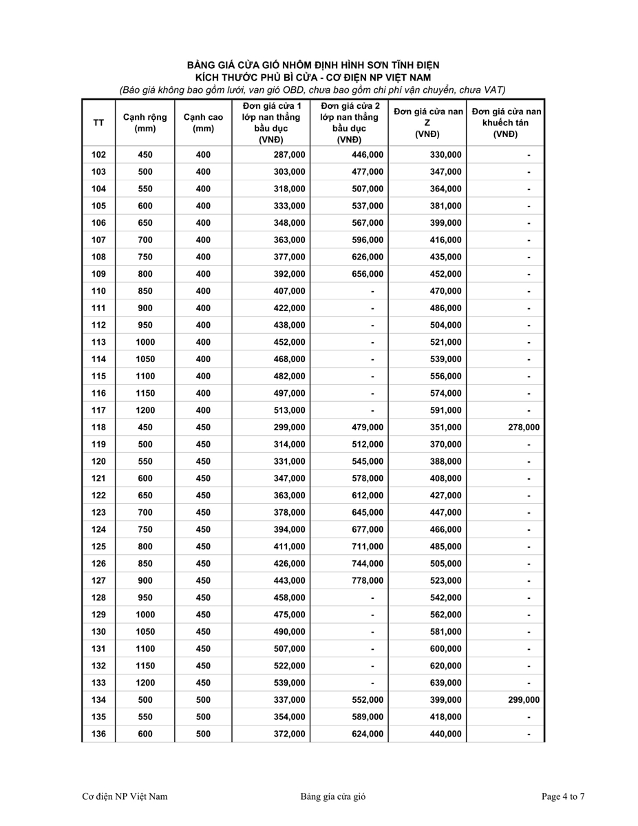
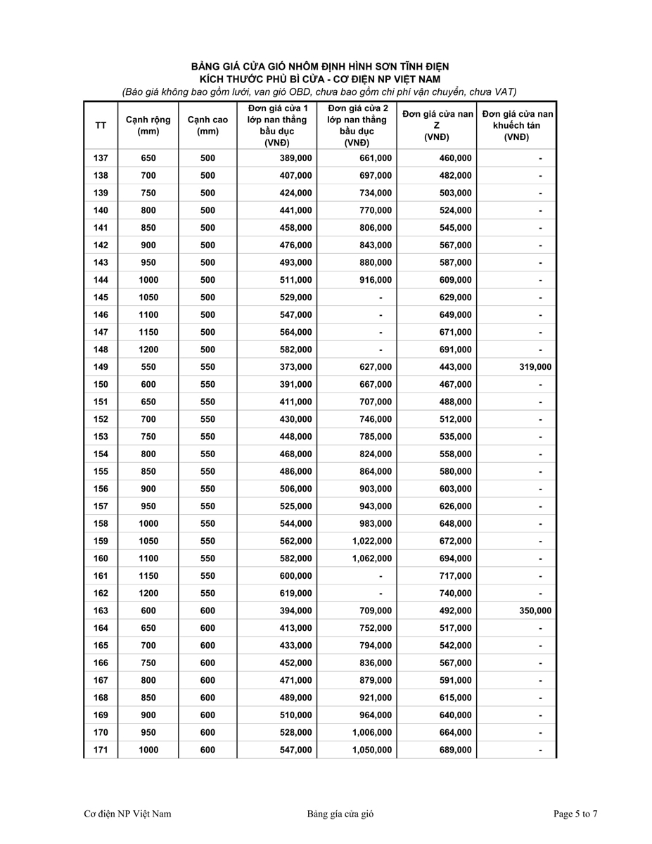
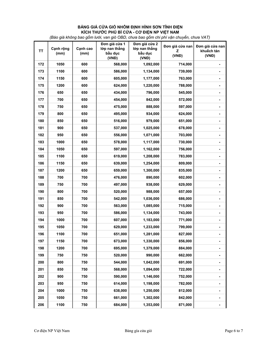
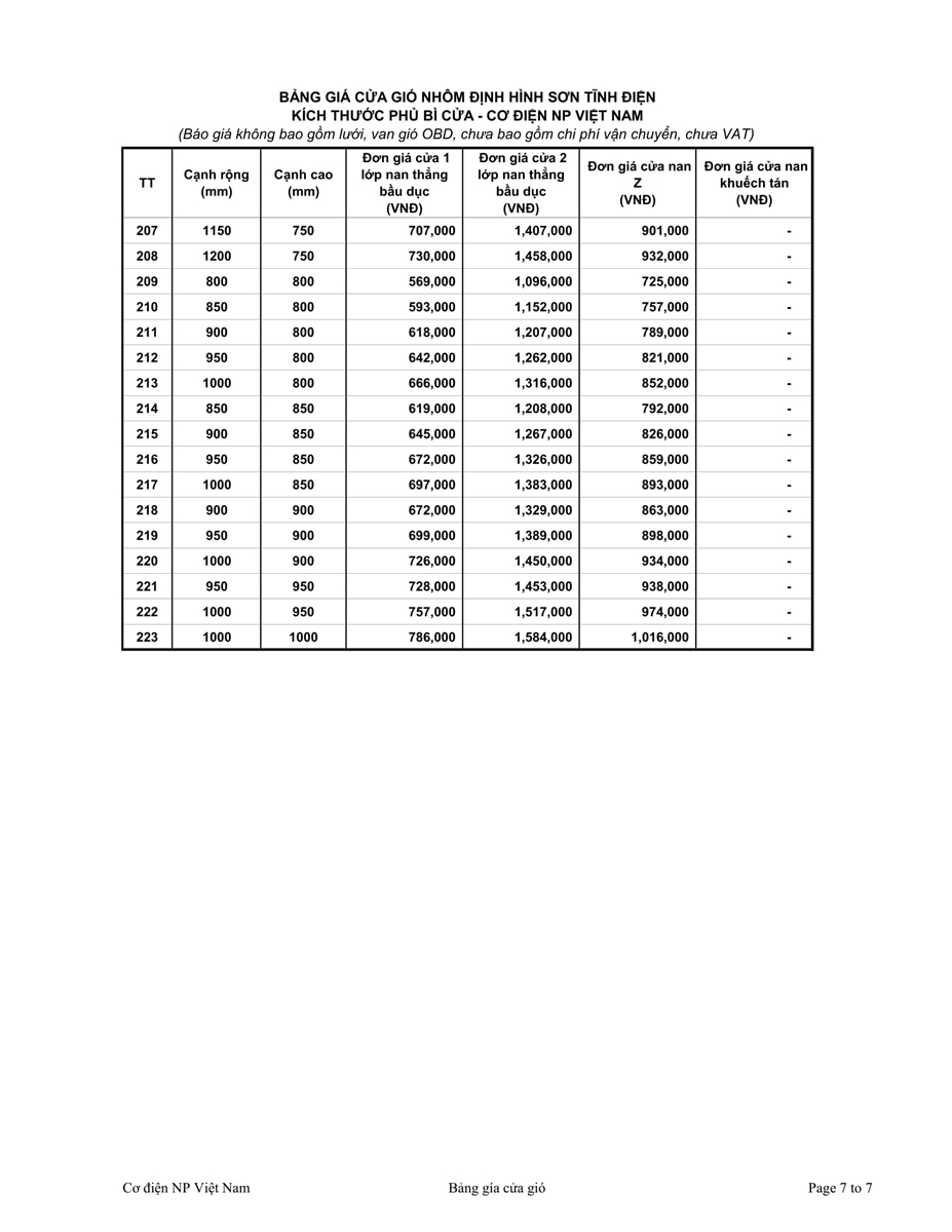
Để giúp khách hàng thuận tiện trong quá trình làm dự toán công trình, Cơ điện NP xin gửi tới quý khách hàng bảng báo giá cửa gió nhôm định hình sơn tĩnh điện mà chúng tôi đã thực hiện cho các dự án tại Hà Nội.
Link down: Bảng báo giá cửa gió nhôm định hình sơn tĩnh điện giá rẻ Hà Nội






